全國服務熱(re)線:
提(ti)供專業的産品服(fú)務專注于服務一(yī)體化
當前位置:網(wang)站首頁 > 産品展示(shi) > 液下式渣漿泵
Products
山東(dong)宁波彩和零部件制造有限公司(4G网站)
聯系人:李經理
手(shǒu)機:
電話:
郵箱:[email protected]
網址(zhi):www.cantonpower.cc
地址:山東淄博市(shì)博山區安上工業(yè)園
YZ(S)型立式(shi)渣漿泵
YZ(S)液下(xia)式(立式)重型渣漿(jiang)泵
2BE(V)系列真(zhēn)空泵
YW型液下長軸泵
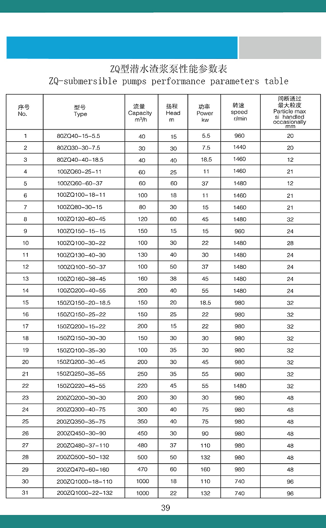
ZQ潛(qián)水渣漿泵系列
手(shǒu)機浏覽
關注我們(men)
Copyright © 2018 cantonpower.cc All rights reserved. 魯ICP備19013132号-1
版權所有(you):山東宁波彩和零部件制造有限公司(4G网站) 聯系人:李經(jing)理 手 機:
電 話: 郵 箱(xiang):[email protected]
公司地址:山東省(sheng)淄博市博山區安(an)上工業園